无障碍

上海市2025年普通高校招生本科普通批次平行志愿院校Q组及部分中外合作办学院校专业组投档分数线公布

发布日期:2025-07-19 来源:上海市教育考试院 字体 [ ]

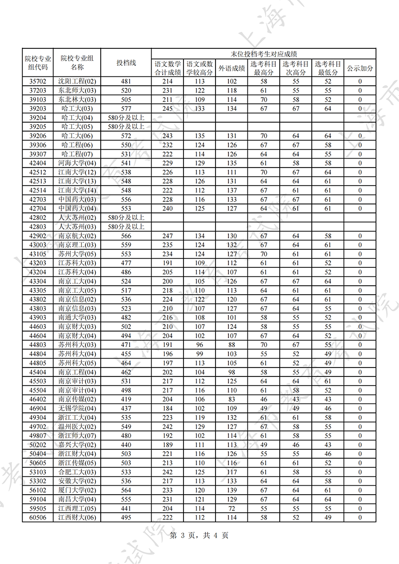
上海市2025年普通高校招生本科普通批次平行志愿院校Q组及部分中外合作办学院校专业组投档分数线公布,详见↓

1.png

2.png

3.png

4.png