2023年上海市普通高校招生专科批次征求志愿网上填报将于8月8日9:00至16:00 进行。高考文化成绩(语、数、外三门高考科目成绩总和)在征求志愿录取控制分数线上(100分及以上)的未录取考生可以进行填报。届时,符合条件考生可以登录“上海招考热线”网站进行填报(具体填报办法见文末)。
目前符合专科批次征求志愿填报的考生有1527人,其中171名考生前期填报过专科志愿。鉴于缺额计划数远大于前期填报过专科志愿的考生数量,若考生充分填报征求志愿,并选择服从专业调剂,将有很大机会被录取。请考生认真把握专科征求志愿批次的录取机会,仔细阅读专科批次征求志愿填报院校(类别)缺额计划表,参考可填报专科批次征求志愿考生成绩分布表(见文末),按本人对征求志愿院校、专业的认同程度依次充分填报,选择服从专业调剂,增加录取的机会。
专科提前批次征求志愿实行“顺序志愿”投档方式。考生最多可填报2个院校志愿,每个院校志愿中最多填报6个专业志愿和1个愿否专业调剂选项。
专科艺体类批次征求志愿实行“平行志愿”投档方式。考生最多可填报8个院校志愿,每个院校志愿中最多填报6个专业志愿和1个愿否专业调剂选项。考生须获得相应艺体类专业统考合格或相关院校校考合格方可填报。
专科普通批次征求志愿实行“平行志愿”投档方式。考生填报普通批次院校志愿数量不限,每个院校志愿中最多填报6个专业志愿和1个愿否专业调剂选项。
考生在填报专科普通批次征求志愿时,应当特别慎重把握这一本年度最后的专科录取机会,确保身体条件、单科成绩等符合拟报专业的要求,充分表达自身专业选择意向,并且选择服从专业调剂。
填报方法


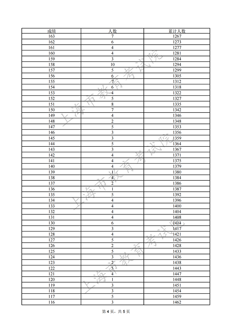
可参加专科批次征求志愿填报考生“语、数、外”三门成绩分布表




