无障碍

2022年上海市普通高校秋季招生本科各批次录取控制分数线确定(附高考成绩分布表)

发布日期:2022-07-23 来源:上海教育 字体 [ ]

2022年上海市普通高等学校秋季招生本科各批次录取控制分数线经审定公布如下:

1.png

(注:本市高考本科成绩满分为660分)

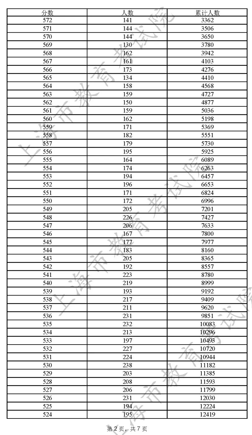
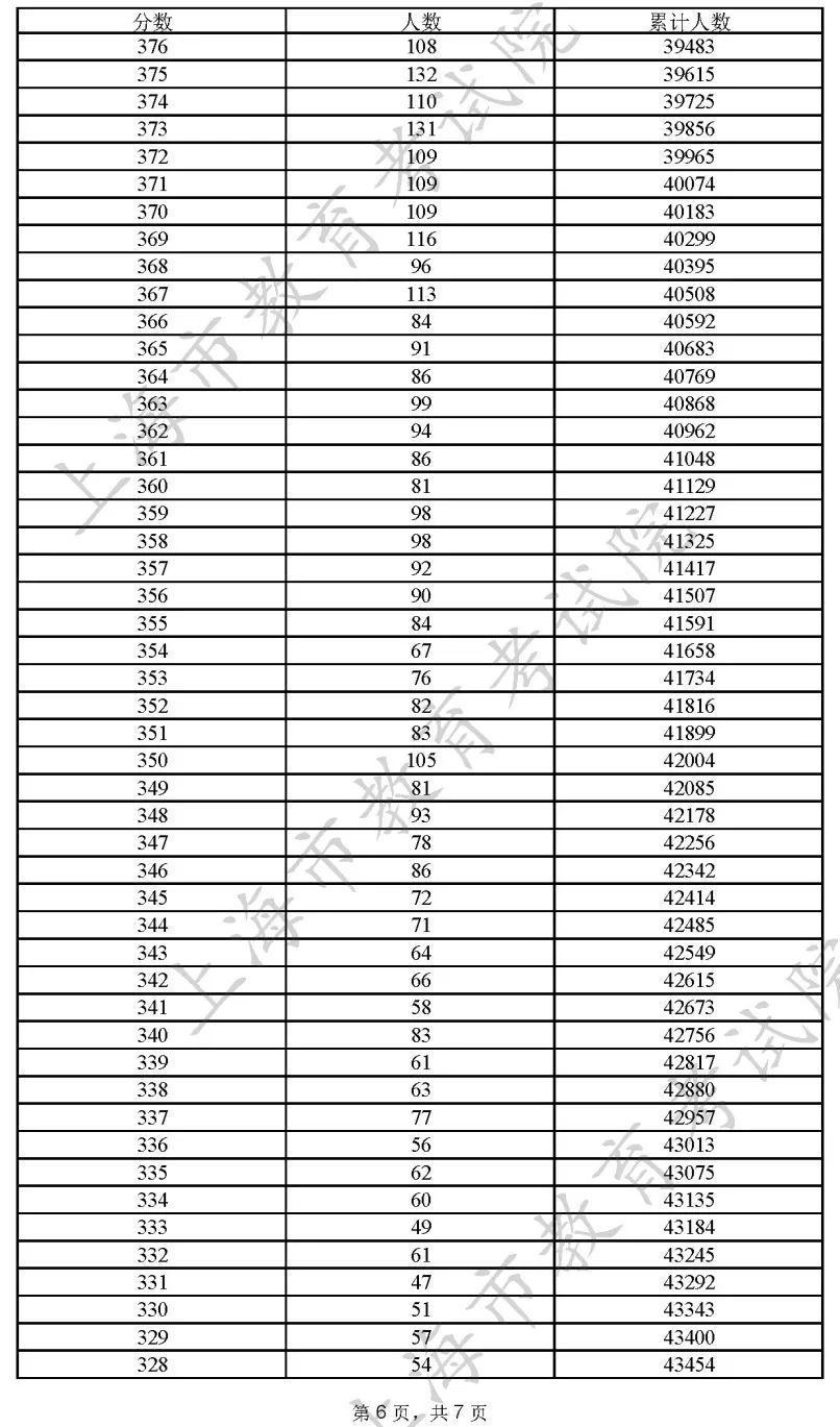
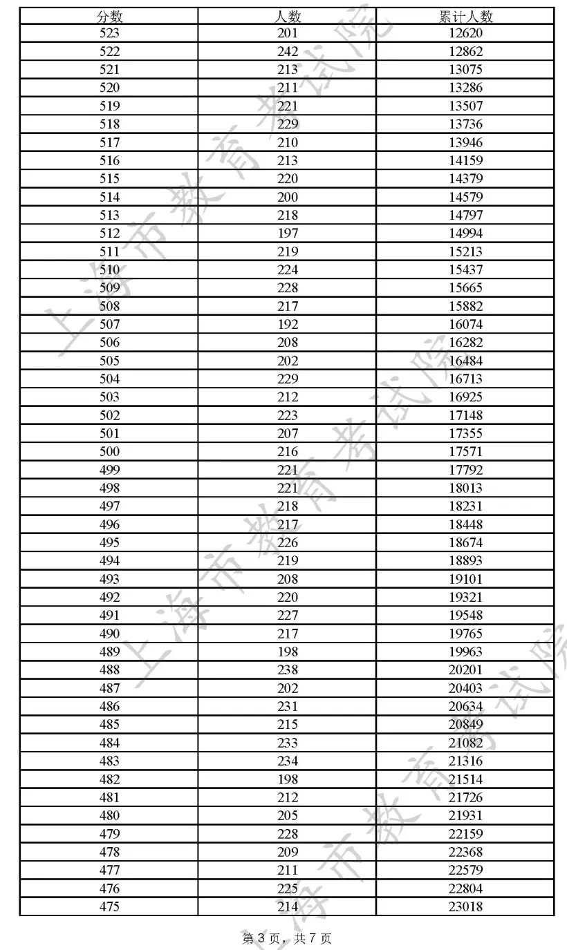
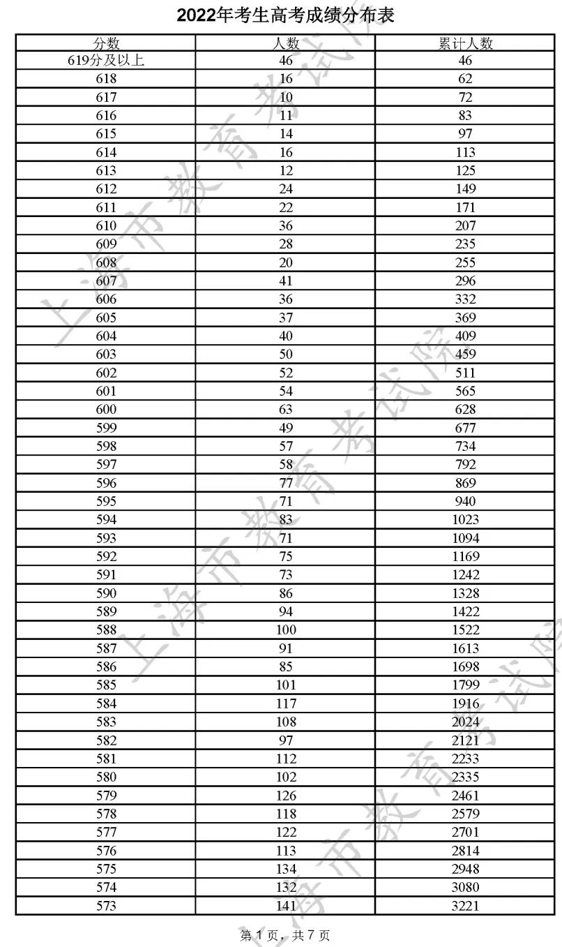
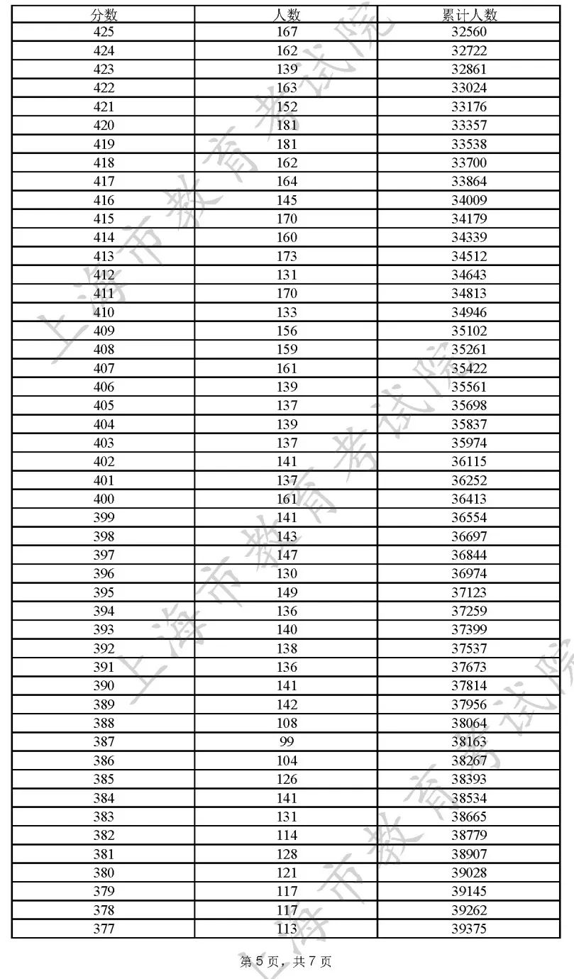
为便于考生考后填报志愿,现公布如下成绩分布信息,供参考↓

2.jpg

3.jpg

4.jpg

5.jpg

6.jpg

7.jpg

8.jpg

注:2022年选考(思想政治、历史、地理、物理、化学、生命科学)科目考生高考成绩分布表,考生可登录“2022年高考志愿辅助填报系统”查询。

2022年艺术类、体育类考生成绩分布情况请进入“上海招考热线”网站查询。