无障碍

权威发布!2021年上海高考招生本科各批次录取控制分数线(附高考成绩分布表)

发布日期:2021-06-23 来源:上海市教育考试院 字体 [ ]

2021年上海市普通高等学校秋季招生本科各批次录取控制分数线经审定公布如下:

批次 分数(3+3科目)
本科录取控制分数线
400
特殊类型招生控制分数线
503
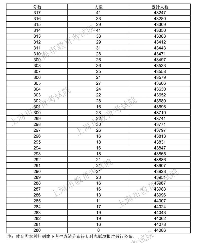
艺术类本科文化控制分数线
300
体育类本科文化控制分数线
280

(注:本市高考本科成绩满分为660分)

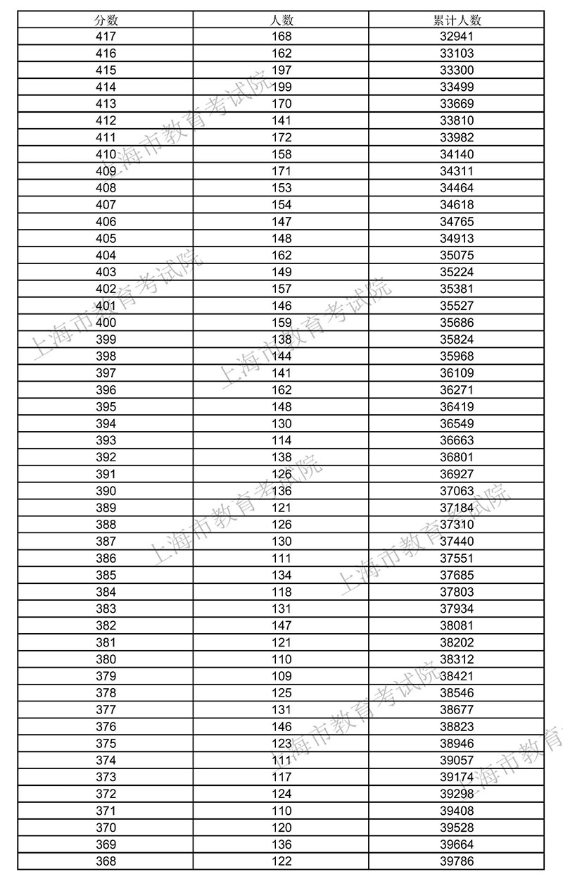
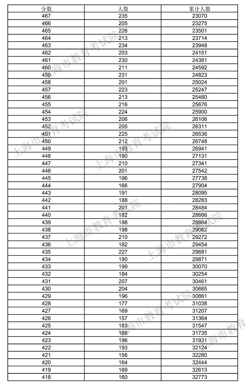
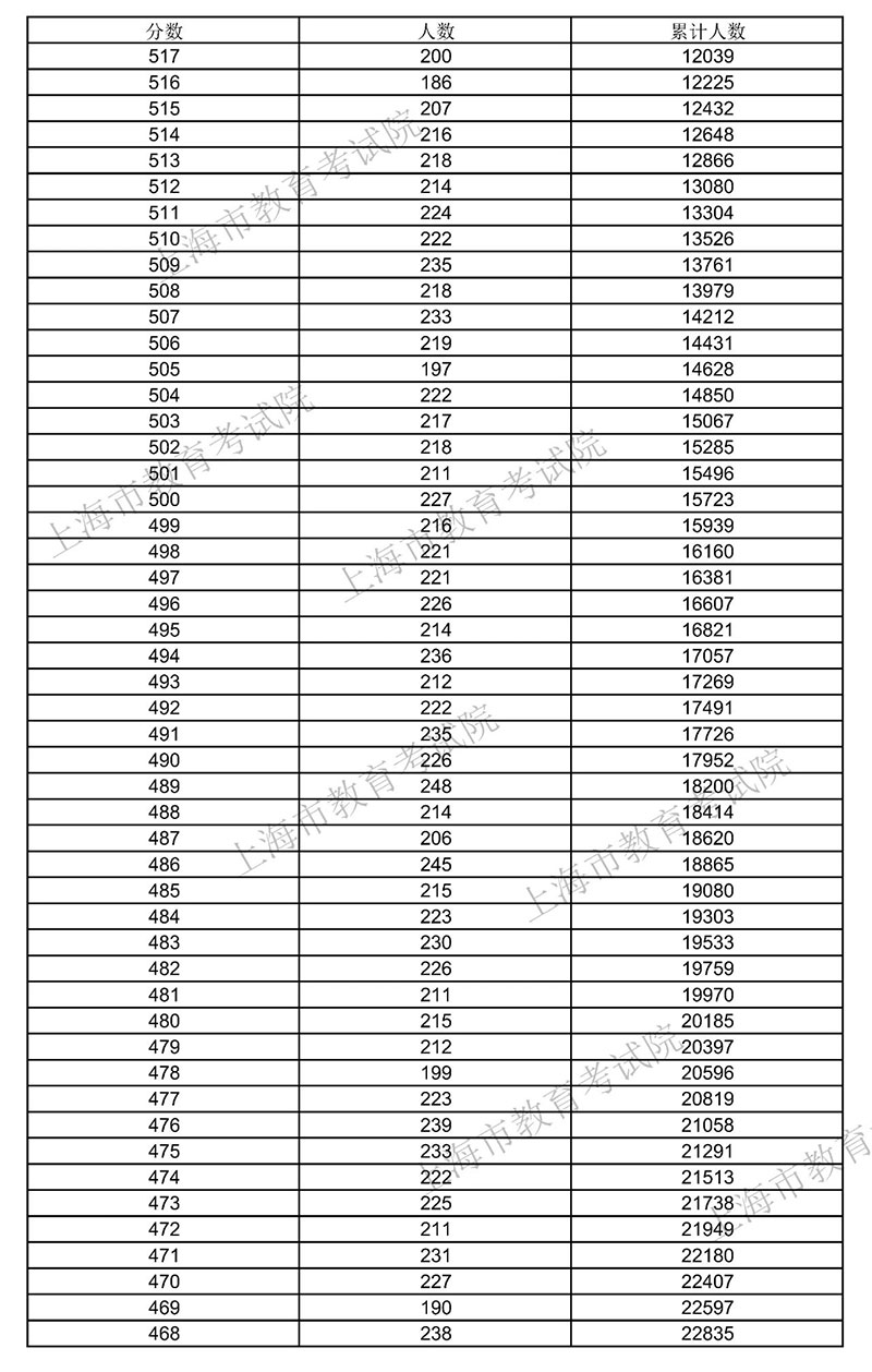
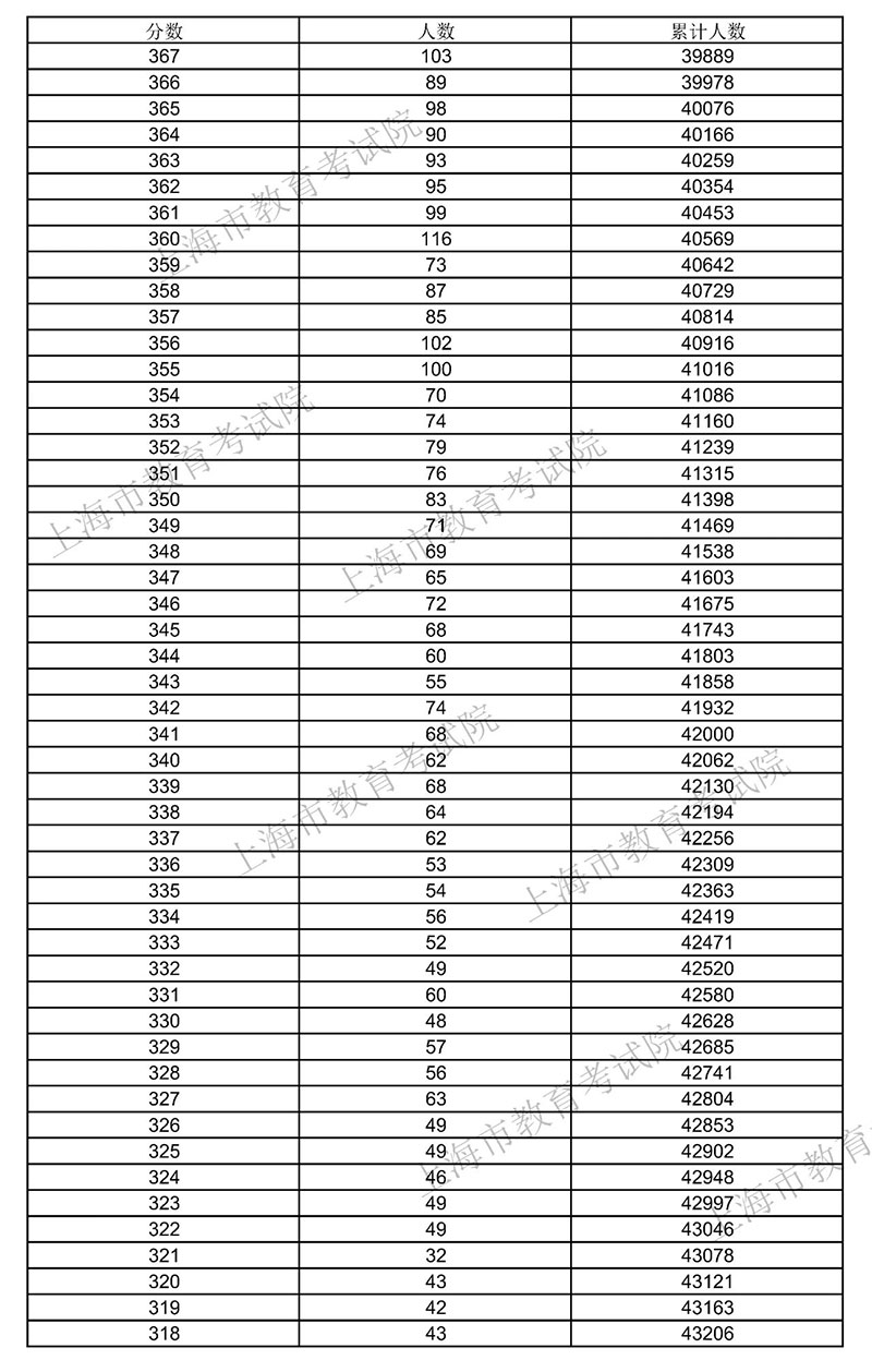
为便于考生考后填报志愿,现公布如下成绩分布信息,供参考↓

1.jpg

2.jpg

3.jpg

4.jpg

5.jpg

6.jpg

7.jpg